The Laplace Transform and its Applications
Laplace transform
The Laplace transform of a function f(t) is calculated as
\[
F(s) = \int_{0}^{\infty} f(t)e^{-st}\,dt
\]
Notation:
\[
F(s) = \mathcal{L}\{f(t)\}
\]
Inverse transform:
\[
f(t) = \mathcal{L}^{-1}\{F(s)\}
\]
Example: Find the Laplace transform of f(t) = a
View the solution
Example: Find the Laplace transform of f(t) = 2 + 5t
View the solution
Example: Find the Laplace transform of f(t) = t
View the solution
Inverse Laplace Transform Problem
Find the inverse Laplace transform of F(s) = (3s - 4) / (s2 + 9)
View the solution
Solving linear ODEs using the Laplace transform
Problem 1: Solve the ODE 2 0 with the initial condition df/dt + 2f = 0 with the initial condition f(0) = 5
View the solution
Problem 2: Solve the ODE y" + 4y = 0 with the initial conditions y(0) = 0 y'(0) = 0
View the solution
Problem 3: Solve the ODE f" + 4f = 4cos(3t) using the initial conditions f(0) = 0 and f'(0) = 1
View the solution
Laplace transform: Test yourself
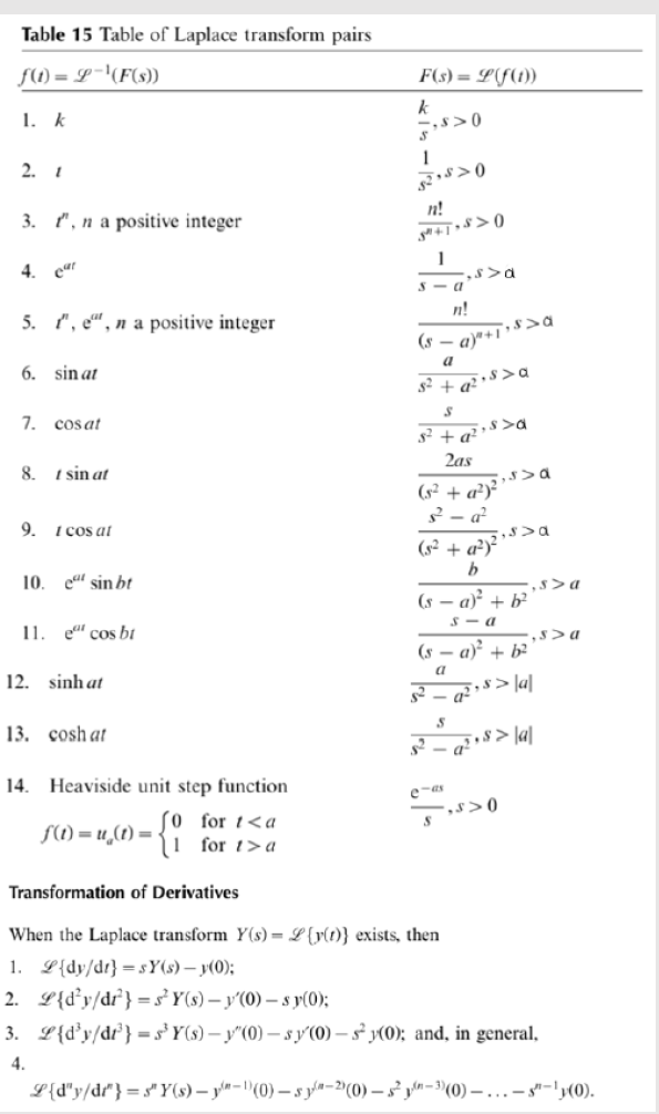
Using the table below:

Test your knowledge as follows
View the exercises
View the solutions part 1
View the solutions part 2
View the solutions part 3
View the solutions part 4
View the solutions part 5
Useful Video tutorials on Partial Fraction Decomposition:
▶ Watch Video Tutorial
▶ Watch Video Tutorial
▶ Watch Video Tutorial
For more details, please contact me here.